
2929
2929
29
SECCION D - REPSECCION D - REP
SECCION D - REPSECCION D - REP
SECCION D - REP
ARACION DE ARACION DE
ARACION DE ARACION DE
ARACION DE
AA
AA
A
VERIAS DE LAVERIAS DE LA
VERIAS DE LAVERIAS DE LA
VERIAS DE LA
LAMP LAMP
LAMP LAMP
LAMP
ARAARA
ARAARA
ARA
DE DE
DE DE
DE
ADVERTENCIAADVERTENCIA
ADVERTENCIAADVERTENCIA
ADVERTENCIA
DELDEL
DELDEL
DEL
SISTEMA SISTEMA
SISTEMA SISTEMA
SISTEMA
ANTIBLOQUEO (ABS) MONTANTIBLOQUEO (ABS) MONT
ANTIBLOQUEO (ABS) MONTANTIBLOQUEO (ABS) MONT
ANTIBLOQUEO (ABS) MONT
ADAADA
ADAADA
ADA
EN EL EN EL
EN EL EN EL
EN EL
T T
T T
T
ABLERO CONABLERO CON
ABLERO CONABLERO CON
ABLERO CON
CONTROLADOR EC-30CONTROLADOR EC-30
CONTROLADOR EC-30CONTROLADOR EC-30
CONTROLADOR EC-30
™™
™™
™
La lámpara de advertencia del sistemaLa lámpara de advertencia del sistema
La lámpara de advertencia del sistemaLa lámpara de advertencia del sistema
La lámpara de advertencia del sistema
antibloqueo (ABS) del remolque, montadaantibloqueo (ABS) del remolque, montada
antibloqueo (ABS) del remolque, montadaantibloqueo (ABS) del remolque, montada
antibloqueo (ABS) del remolque, montada
en el tablero, no ilumina en el vehículo conen el tablero, no ilumina en el vehículo con
en el tablero, no ilumina en el vehículo conen el tablero, no ilumina en el vehículo con
en el tablero, no ilumina en el vehículo con
corriente de la batería conectada.corriente de la batería conectada.
corriente de la batería conectada.corriente de la batería conectada.
corriente de la batería conectada.
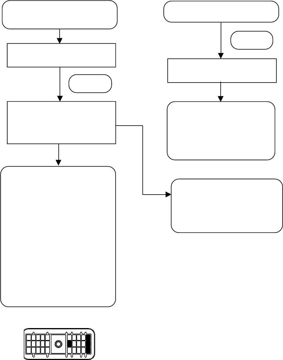
Con el motor apagado, quite el conector
de 30 patillas del controlador EC-30
™
.
SISI
SISI
SI
NONO
NONO
NO
Prenda el motor y mida el voltaje entre
la patilla E2 y tierra (patillas A1, A2 o
A3). Verifique una medida igual al voltaje
de la batería. (Alrededor de 12.0 VDC).
Únicamente a las grúas fabricadas despuésÚnicamente a las grúas fabricadas después
Únicamente a las grúas fabricadas despuésÚnicamente a las grúas fabricadas después
Únicamente a las grúas fabricadas después
del primero de marzo de 2.001 se les exigirádel primero de marzo de 2.001 se les exigirá
del primero de marzo de 2.001 se les exigirádel primero de marzo de 2.001 se les exigirá
del primero de marzo de 2.001 se les exigirá
tener una lámpara de advertencia deltener una lámpara de advertencia del
tener una lámpara de advertencia deltener una lámpara de advertencia del
tener una lámpara de advertencia del
sistema antibloqueo (ABS) del remolque.sistema antibloqueo (ABS) del remolque.
sistema antibloqueo (ABS) del remolque.sistema antibloqueo (ABS) del remolque.
sistema antibloqueo (ABS) del remolque. La
lámpara de advertencia del sistema
antibloqueo (ABS) localizada en el tablero
del vehículo, es únicamente activada por
una señal de comunicación por portadora
sobre la línea de energía (PLC) desde el
remolque o herramienta de diagnóstico. La
grúa debe estar equipada con un
controlador EC-30
™
con comunicación por
portadora sobre la línea de energía (PLC).
Refiérase al número de parte y
configuración, para asegurarse de que el
controlador EC-30
™
sostiene comunicación
por portadora sobre la línea de energía
(PLC).
Revise si hay corrosión o daño en el
conector de 30 patillas y en el cableado. Si
ningún resultado es encontrado, reemplace
el controlador EC-30
™
.
Con un medidor de voltios/ ohmios revise
el cableado, la lámpara de advertencia del
sistema antibloqueo (ABS) del remolque y
el fusible. Cuando la reparación sea hecha,
reconecte el conector de 30 patillas al
controlador EC-30
™
y repita la secuencia
de corriente de la batería conectada. Ir a
la Sección A.
11
11
1
22
22
2
33
33
3
K J H G FK J H G F
K J H G FK J H G F
K J H G F
E D C B AE D C B A
E D C B AE D C B A
E D C B A
Controlador EC-30
™
Conector de 30 patillas
E2 Lámpara de advertencia del
sistema antibloqueo
(ABS) del remolque
A1,A2,A3 Tierra
Ver la nota en
esta página
Nota: Si no hay cable en la patilla E2 delNota: Si no hay cable en la patilla E2 del
Nota: Si no hay cable en la patilla E2 delNota: Si no hay cable en la patilla E2 del
Nota: Si no hay cable en la patilla E2 del
conector de 30 patillas, el controladorconector de 30 patillas, el controlador
conector de 30 patillas, el controladorconector de 30 patillas, el controlador
conector de 30 patillas, el controlador
EC-30EC-30
EC-30EC-30
EC-30
™™
™™
™
, está comandando la lámpara, está comandando la lámpara
, está comandando la lámpara, está comandando la lámpara
, está comandando la lámpara
de advertencia del sistema antibloqueode advertencia del sistema antibloqueo
de advertencia del sistema antibloqueode advertencia del sistema antibloqueo
de advertencia del sistema antibloqueo
(ABS) del remolque, usando la conexión(ABS) del remolque, usando la conexión
(ABS) del remolque, usando la conexión(ABS) del remolque, usando la conexión
(ABS) del remolque, usando la conexión
de comunicación serie J1939 ó J1587.de comunicación serie J1939 ó J1587.
de comunicación serie J1939 ó J1587.de comunicación serie J1939 ó J1587.
de comunicación serie J1939 ó J1587.
En esta configuración, la lámpara del
sistema antibloqueo (ABS) del
remolque es manejada por un
controlador del tablero del vehículo.
Obtenga el manual del vehículo y revise
el alambrado y función de la lámpara
de advertencia del sistema antibloqueo
(ABS) del remolque.
Para verificar la comunicación correcta
del controlador EC-30
™
, refiérase al
controlador EC-30
™
ABS/ ATC. Hoja
técnica de datos, SD-13-4815.
La lámpara del sistema antibloqueo (ABS)
del remolque, permanece encendida sin
remolque conectado a la grúa.
Con un medidor de voltios/ ohmios,
verifique si no hay continuidad desde la
patilla del conector de la lámpara de
advertencia del sistema antibloqueo
(ABS) del remolque, a tierra. Revise si
hay corrosión o daños en el conector de
30 patillas y en el cableado. Si ningún
resultado es encontrado reemplace el
controlador EC-30
™
.
Con el motor apagado, quite el conector
de 30 patillas del controlador EC-30
™
.
Ver la nota en
esta página
Komentarze do niniejszej Instrukcji